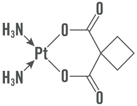
Diammine-(1,1-cyclobutanedicarboxylato)platinum(II)

Carboplatin

CAS Number: 41575-94-4

Formula: C6H12N2O4Pt

Appearance: white crystalline powder

Monographs: USP, Ph. Eur., BP, JP, CP

Drug Master File: available on request

Get in Touch With Us

Patrick ManskeGlobal Head of Sales and Marketing, Pharmaceutical Ingredients
Sales
Send Mail